Оглавление:
- Формулы сокращенного умножения
- Квадратное уравнение и формула разложения квадратного трехчлена на множители
- Свойства степеней и корней
- Формулы с логарифмами
- Арифметическая прогрессия
- Геометрическая прогрессия
- Тригонометрия
- Тригонометрические уравнения
- Геометрия на плоскости (планиметрия)
- Геометрия в пространстве (стереометрия)
- Координаты
- Таблица умножения
- Таблица квадратов двухзначных чисел
- Расширенная PDF версия документа "Все главные формулы по школьной математике"
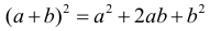
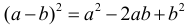
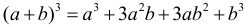
Формулы сокращенного умножения
Квадрат суммы:

Квадрат разности:

Разность квадратов:

Разность кубов:

Сумма кубов:

Куб суммы:

Куб разности:

Последние две формулы также часто удобно использовать в виде:


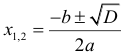
Квадратное уравнение и формула разложения квадратного трехчлена на множители
Пусть квадратное уравнение имеет вид:

Тогда дискриминант находят по формуле:

Если D > 0, то квадратное уравнение имеет два корня, которые находят по формуле:

Если D = 0, то квадратное уравнение имеет один корень (его кратность: 2), который ищется по формуле:

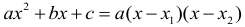
Если D < 0, то квадратное уравнение не имеет корней. В случае когда квадратное уравнение имеет два корня, соответствующий квадратный трехчлен может быть разложен на множители по следующей формуле:

Если квадратное уравнение имеет один корень, то разложение соответствующего квадратного трехчлена на множители задается следующей формулой:

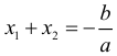
Только в случае если квадратное уравнение имеет два корня (т.е. дискриминант строго больше ноля) выполняется Теорема Виета. Согласно Теореме Виета, сумма корней квадратного уравнения равна:

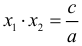
Произведение корней квадратного уравнения может быть вычислено по формуле:

Парабола
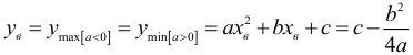
График параболы задается квадратичной функцией:

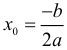
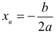
При этом координаты вершины параболы могут быть вычислены по следующим формулам. Икс вершины:

Игрек вершины параболы:

Свойства степеней и корней
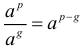
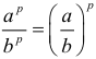
Основные свойства степеней:







Последнее свойство выполняется только при n > 0. Ноль можно возводить только в положительную степень.

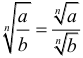
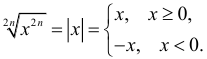
Основные свойства математических корней:





Для арифметических корней:

Последнее справедливо: если n – нечетное, то для любого a; если же n – четное, то только при a больше либо равном нолю. Для корня нечетной степени выполняется также следующее равенство:

Для корня четной степени имеется следующее свойство:

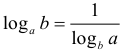
Формулы с логарифмами
Определение логарифма:

Определение логарифма можно записать и другим способом:

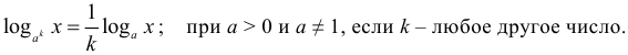
Свойства логарифмов:



Логарифм произведения:

Логарифм дроби:

Вынесение степени за знак логарифма:




Другие полезные свойства логарифмов:


Арифметическая прогрессия
Формулы n-го члена арифметической прогрессии:


Соотношение между тремя соседними членами арифметической прогрессии:

Формула суммы арифметической прогрессии:

Свойство арифметической прогрессии:

Геометрическая прогрессия
Формулы n-го члена геометрической прогрессии:


Соотношение между тремя соседними членами геометрической прогрессии:

Формула суммы геометрической прогрессии:

Формула суммы бесконечно убывающей геометрической прогрессии:

Свойство геометрической прогрессии:

Тригонометрия
Пусть имеется прямоугольный треугольник:

Тогда, определение синуса:

Определение косинуса:

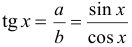
Определение тангенса:

Определение котангенса:

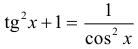
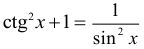
Основное тригонометрическое тождество:

Простейшие следствия из основного тригонометрического тождества:


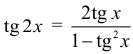
Формулы двойного угла
Синус двойного угла:

Косинус двойного угла:

Тангенс двойного угла:

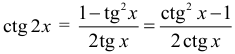
Котангенс двойного угла:

Тригонометрические формулы сложения
Синус суммы:

Синус разности:

Косинус суммы:

Косинус разности:

Тангенс суммы:

Тангенс разности:

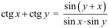
Котангенс суммы:

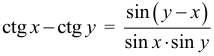
Котангенс разности:

Тригонометрические формулы преобразования суммы в произведение
Сумма синусов:

Разность синусов:

Сумма косинусов:

Разность косинусов:

Сумма тангенсов:

Разность тангенсов:

Сумма котангенсов:

Разность котангенсов:

Тригонометрические формулы преобразования произведения в сумму
Произведение синусов:

Произведение синуса и косинуса:

Произведение косинусов:

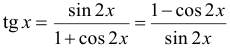
Формулы понижения степени
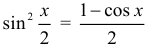
Формула понижения степени для синуса:

Формула понижения степени для косинуса:

Формула понижения степени для тангенса:

Формула понижения степени для котангенса:

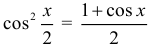
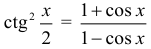
Формулы половинного угла
Формула половинного угла для тангенса:

Формула половинного угла для котангенса:

Тригонометрические формулы приведения
Формулы приведения задаются в виде таблицы:

Тригонометрическая окружность
По тригонометрической окружности легко определять табличные значения тригонометрических функций:

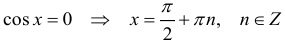
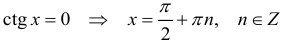
Тригонометрические уравнения
Формулы решений простейших тригонометрических уравнений. Для синуса существует две равнозначные формы записи решения:


Для остальных тригонометрических функций запись однозначна. Для косинуса:

Для тангенса:

Для котангенса:

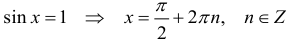
Решение тригонометрических уравнений в некоторых частных случаях:








Геометрия на плоскости (планиметрия)
Пусть имеется произвольный треугольник:

Тогда, сумма углов треугольника:

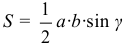
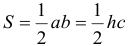
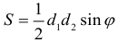
Площадь треугольника через две стороны и угол между ними:

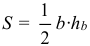
Площадь треугольника через сторону и высоту опущенную на неё:

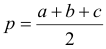
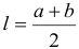
Полупериметр треугольника находится по следующей формуле:

Формула Герона для площади треугольника:

Площадь треугольника через радиус описанной окружности:

Формула медианы:

Свойство биссектрисы:

Формулы биссектрисы:


Основное свойство высот треугольника:

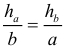
Формула высоты:

Еще одно полезное свойство высот треугольника:

Теорема косинусов:

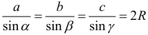
Теорема синусов:

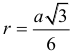
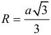
Радиус окружности, вписанной в правильный треугольник:

Радиус окружности, описанной около правильного треугольника:

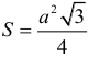
Площадь правильного треугольника:

Теорема Пифагора для прямоугольного треугольника (c - гипотенуза, a и b - катеты):

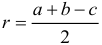
Радиус окружности, вписанной в прямоугольный треугольник:

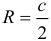
Радиус окружности, описанной вокруг прямоугольного треугольника:

Площадь прямоугольного треугольника (h - высота опущенная на гипотенузу):

Свойства высоты, опущенной на гипотенузу прямоугольного треугольника:



Длина средней линии трапеции:

Площадь трапеции:

Площадь параллелограмма через сторону и высоту опущенную на неё:

Площадь параллелограмма через две стороны и угол между ними:

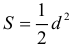
Площадь квадрата через длину его стороны:

Площадь квадрата через длину его диагонали:

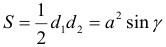
Площадь ромба (первая формула - через две диагонали, вторая - через длину стороны и угол между сторонами):

Площадь прямоугольника через две смежные стороны:

Площадь произвольного выпуклого четырёхугольника через две диагонали и угол между ними:

Связь площади произвольной фигуры, её полупериметра и радиуса вписанной окружности (очевидно, что формула выполняется только для фигур в которые можно вписать окружность, т.е. в том числе для любых треугольников):

Свойство касательных:

Свойство хорды:

Теорема о пропорциональных отрезках хорд:

Теорема о касательной и секущей:

Теорема о двух секущих:

Теорема о центральном и вписанном углах (величина центрального угла в два раза больше величины вписанного угла, если они опираются на общую дугу):

Свойство вписанных углов (все вписанные углы опирающиеся на общую дугу равны между собой):

Свойство центральных углов и хорд:

Свойство центральных углов и секущих:

Условие, при выполнении которого возможно вписать окружность в четырёхугольник:

Условие, при выполнении которого возможно описать окружность вокруг четырёхугольника:

Сумма углов n-угольника:

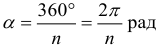
Центральный угол правильного n-угольника:

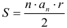
Площадь правильного n-угольника:

Длина окружности:

Длина дуги окружности:

Площадь круга:

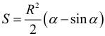
Площадь сектора:

Площадь кольца:

Площадь кругового сегмента:

Геометрия в пространстве (стереометрия)
Главная диагональ куба:

Объем куба:

Объём прямоугольного параллелепипеда:

Главная диагональ прямоугольного параллелепипеда (эту формулу также можно назвать: "трёхмерная Теорема Пифагора"):

Объём призмы:

Площадь боковой поверхности прямой призмы (P – периметр основания, l – боковое ребро, в данном случае равное высоте h):

Объём кругового цилиндра:

Площадь боковой поверхности прямого кругового цилиндра:

Объём пирамиды:

Площадь боковой поверхности правильной пирамиды (P – периметр основания, l – апофема, т.е. высота боковой грани):

Объем кругового конуса:

Площадь боковой поверхности прямого кругового конуса:

Длина образующей прямого кругового конуса:

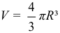
Объём шара:

Площадь поверхности шара (или, другими словами, площадь сферы):

Координаты
Длина отрезка на координатной оси:

Длина отрезка на координатной плоскости:

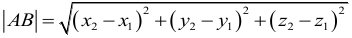
Длина отрезка в трёхмерной системе координат:

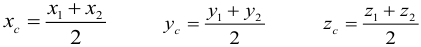
Координаты середины отрезка (для координатной оси используется только первая формула, для координатной плоскости - первые две формулы, для трехмерной системы координат - все три формулы):

Таблица умножения

Таблица квадратов двухзначных чисел

