Оглавление:
Основные теоретические сведения
Определение производной
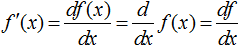
Рассмотрим некоторую функцию f(x), зависящую от аргумента x. Пусть эта функция определена в точке x0 и некоторой ее окрестности, непрерывна в этой точке и ее окрестностях. Рассмотрим небольшое изменение аргумента функции ∆x. Пусть при этом функция изменилась на ∆f(x). Тогда производной функции в данной точке называется следующее отношение:

Если у функции можно рассчитать производную, то функцию называют дифференцируемой. А саму операцию вычисления производной называют дифференцированием. В математике принято обозначать производную следующим образом:

Все обозначения равнозначны. Допустимо использовать любое. На практике, конечно, никто не считает производную по определению. Все проще. Для начала необходимо запомнить таблицу производных элементарных функций. По определению, все элементарные функции (те функции, которые Вы изучали в школе) дифференцируемы на всей области определения. Затем также нужно освоить правила дифференцирования.
Таблица производных и правила дифференцирования
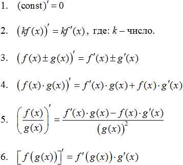
Таблица производных:

Правила вычисления производной:

