Оглавление:
Основные теоретические сведения
Некоторые рекомендации к решению иррациональных неравенств
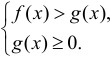
Для того чтобы хорошо решать задания данной темы нужно отлично усвоить теорию из некоторых предыдущих тем, особенно из тем "Иррациональные уравнения и системы" и "Рациональные неравенства". Теперь запишем одну из основных теорем используемых при решении иррациональных неравенств (т.е. неравенств с корнями). Итак, если обе функции f(x) и g(x) неотрицательны, то неравенство:

Равносильно следующему неравенству:

Иначе говоря, если слева и справа в неравенстве стоят неотрицательные выражения, то это неравенство можно смело возводить в любую степень. Ну а если нужно возвести всё неравенство в нечётную степень, то в таком случае необязательно даже требовать неотрицательности левой и правой частей неравенства. Таким образом, любое неравенство без ограничений можно возводить в нечетную степень. Подчеркнем еще раз, что для возведения неравенства в четную степень, необходимо убедиться в неотрицательности обеих сторон этого неравенства.
Эта теорема становится очень актуальной именно в иррациональных неравенствах, т.е. в неравенствах с корнями, где для решения большинства примеров приходится именно возводить неравенства в некоторую степень. Конечно в иррациональных неравенствах нужно очень внимательно учитывать ОДЗ, которое в основном формируется из двух стандартных условий:
- под корнями четных степеней должны стоять неотрицательные выражения;
- в знаменателях дробей не должны получаться ноли.
Также вспомним, что и само значение корня четной степени всегда неотрицательно.
В соответствии со сказанным, в случае если иррациональное неравенство имеет более двух квадратных корней, то перед возведением неравенства в квадрат (или другую четную степень), необходимо убедиться, что с каждой из сторон неравенства стоят неотрицательные выражения, т.е. суммы квадратных корней. Если с одной из сторон неравенства есть разность корней, то про знак такой разности заранее не может быть ничего известно, а значит возводить неравенство в четную степень нельзя. В таком случае, нужно корни перед которыми стоят знаки "минус" перенести на противоположные стороны неравенства (слева направо или наоборот), таким образом знаки "минус" перед корнями поменяются на "плюсы", и с обеих сторон неравенства будут получены только суммы корней. Только после этого можно возводить всё неравенство в квадрат.
Как и в остальных темах по математике, при решении иррациональных неравенств можно применять метод замены переменной. Главное не забывать, что после введения замены, новое выражение должно стать проще и не содержать старой переменной. Кроме того, нужно не забывать выполнять обратную замену.
Остановимся на нескольких относительно простых но распространённых типах иррациональных неравенств. Первый тип таких неравенств, это когда сравниваются два корня четной степени, т.е. имеется неравенство вида:

Данное неравенство содержит неотрицательные выражения с обоих сторон, поэтому его можно смело возвести в степень 2n, после чего с учетом ОДЗ получим:

Обратите внимание, что ОДЗ записано только для того подкоренного выражения, которое меньше. Другое выражение автоматически получится больше ноля, так как оно больше первого выражения, которое в свою очередь больше ноля.
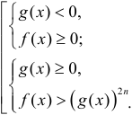
В случае когда корень четной степени полагается большим чем некоторое рациональное выражение, т.е. в случае когда имеется иррациональное неравенство вида:

То решение такого неравенства выполняется с помощью перехода к совокупности двух систем:

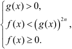
Ну и наконец, в случае, когда корень четной степени полагается меньшим чем некоторое рациональное выражение, т.е. в случае когда имеется иррациональное неравенство вида:

То решение такого неравенства выполняется с помощью перехода к системе:

В случаях когда сравниваются два корня нечётной степени, или корень нечетной степени полагается большим либо меньшим некоторого рационального выражения можно просто возвести всё неравенство в нужную нечетную степень, и таким образом избавиться от всех корней. В этом случае не возникает никакого дополнительного ОДЗ, так как в нечетную степень можно возводить неравенства без ограничений, и под корнями нечётных степеней могут стоять выражения любого знака.
Обобщенный метод интервалов
В случае когда имеется сложное иррациональное уравнение, не подпадающее ни под один из случаев описанных выше, и которое нельзя решить возведением в некоторую степень, нужно применять обобщенный метод интервалов, который состоит в следующем:
- Определите ОДЗ;
- Преобразуйте неравенство так, чтобы в правой части был ноль (в левой части, если это возможно, приведите к общему знаменателю, разложите на множители и т.д.);
- Найдите все корни числителя и знаменателя и нанесите их на числовую ось, причём, если неравенство нестрогое, закрасьте корни числителя, ну а корни знаменателя в любом случае оставьте выколотыми точками;
- Найдите знак всего выражения на каждом из интервалов, подставляя в преобразованное неравенство число из данного интервала. При этом уже больше нельзя никаким образом чередовать знаки переходя через точки на оси. Определять знак выражения на каждом интервале нужно именно подстановкой значения из интервала в это выражение, и так для каждого интервала. Больше никак нельзя (в этом то и состоит, по большому счету, отличие обобщенного метода интервалов от обычного);
- Найдите пересечение ОДЗ и удовлетворяющих неравенству промежутков, при этом не потеряйте отдельные точки, удовлетворяющие неравенству (корни числителя в нестрогих неравенствах), и не забудьте исключить из ответа все корни знаменателя во всех неравенствах.
