Оглавление:
Основные теоретические сведения
Некоторые базовые сведения по основным математическим операциям
Правила умножения и деления отрицательных и положительных чисел:
- При умножении или делении двух положительных чисел в результате получается положительное число.
- При умножении или делении двух отрицательных чисел в результате получается положительное число.
- При умножении или делении одного положительного, а другого отрицательного числа (в любой последовательности) в результате получается отрицательное число.
Основное свойство дроби: числитель и знаменатель дроби можно умножить или разделить на одинаковое число, неравное нулю, при этом величина дроби не изменится. В случае если мы делим числитель и знаменатель на некоторое число, то такая процедура называется сокращением дроби. Умножение числителя и знаменателя на одинаковое число обычно используется для приведения нескольких дробей к одинаковому (общему) знаменателю. Заметим, что в записи обыкновенной дроби (т.е. в дроби с чертой): числитель вверху, а знаменатель внизу.
Наименьший (наилучший) общий знаменатель дробей – это самое маленькое из чисел, которое делится на все знаменатели исходных дробей.
При выполнении сложения или вычитания дробей с одинаковыми знаменателями, необходимо выполнить сложение или вычитание числителей этих дробей, и результат этой операции записать в числитель, а знаменатель переписать исходный. Если необходимо сложить или вычесть дроби с различными знаменателями, то их сначала нужно привести к общему знаменателю, а затем выполнить сложение дробей с одинаковым знаменателем.
Для преобразования дроби с целой частью в неправильную дробь можно использовать следующее правило: умножаем целую часть на знаменатель и к данному произведению прибавляем числитель. Результат записываем в числителе неправильной дроби, а знаменатель оставляем без изменения.
Для обратного преобразования неправильной дроби в правильную с целой частью проделывают следующее: Сначала делят числитель на знаменатель. При делении большего числа на меньшее, получается целое число (целая часть) и остаток. Целую часть записывают перед дробью, остаток деления записывают в числитель, а знаменатель не изменяют.
Для умножения дробей применяют следующее правило (произведение числителей записывают в числителе, а знаменателей - в знаменателе), при этом обе дроби должны быть приведены к неправильному виду, т.е. у них не должна быть выделена целая часть.

Деление дробей выполняется при помощи замены деления на умножение. А именно: дробь на которую делят (вторую дробь), переворачивают, меняя числитель и знаменатель местами, а вместо знака деления ставится знак умножение. Затем выполняют умножение обычным образом. Дроби опять таки должны быть без целой части. Это правило можно записать в виде формулы:

При делении дроби на число, надо представить число в виде дроби со знаменателем 1, а затем выполнить обычное деление дробей пользуясь предыдущим свойством. Данное правило также можно представить в виде формулы:

Если знак деления (две точки) заменен на еще одну черту дроби, то чтобы выполнить операцию деления дроби на число, просто нужно выполнить обратную замену, а далее действовать как обычно:

При делении числа на дробь нужно действовать аналогично, т.е. заменять число на дробь с единичным знаменателем, а далее выполнять стандартные действия обычным образом. Запишем правила деления числа на дробь в виде формул:


Для того чтобы умножить число на сумму в скобках или наоборот необходимо данное число умножить на каждое слагаемое в скобках и результаты сложить. Это правило справедливо для любого количества слагаемых в скобке. В виде формул это правило можно записать следующим образом:



Для того чтобы умножить скобку на скобку нужно каждое слагаемое из первой скобки умножить на каждое слагаемое из второй скобки и результаты сложить. Это правило также справедливо при любом количестве слагаемых в скобках. Запишем в виде формулы пример такой операции:

Если при умножении скобки на число или при умножении скобки на скобку в одной из скобок встретятся минусы, то нужно просто рассматривать каждое число вместе со знаком, который стоит перед ним, и аккуратно выполнять умножение и дальнейшее суммирование по всем правилам.
Выполняя обычные вычисления с большим количеством действий:
- сначала выполняют операции в скобках;
- затем считают произведения и/или деления;
- потом суммируют или вычитают;
- и в последнюю очередь, если это была многоэтажная дробь, делят уже полностью упрощенный числитель на тоже полностью упрощенный знаменатель.
Причем выполняя в первую очередь операции в скобках также соблюдают ту же последовательность, сначала произведения или деления внутри скобок, потом суммирование или вычитание в скобках, а если внутри скобки есть другая скобка то действия в ней выполняются прежде всего.
Одночленом называется произведение какого-нибудь отрицательного или положительного числа на одну или несколько переменных в разных степенях. Многочленом называется сумма (или разность) одночленов.
Подобными слагаемыми в многочлене называются такие слагаемые-одночлены у которых полностью повторяется комбинация переменных и их степеней, при этом числа у этих одночленов могут быть разными. Таким образом, подобные слагаемые многочлена являются такими одночленами, которые можно сложить, обычно это нужно сделать, а процедуру сложения всех видов подобных слагаемых называют приведением подобных слагаемых.
Решение простейшего линейного уравнения выглядит следующим образом:

Алгоритм решения линейных уравнений:
- Раскрыть все скобки.
- Все слагаемые с переменной перенести налево от знака равно, а все слагаемые без переменной направо от знака равно, не забывая менять знаки перед слагаемыми при переносе.
- Привести все подобные слагаемые слева и справа. Получим уравнение вида: ax = b.
- Найти ответ делением, как: x = b/a.
При решении линейных неравенств есть только одна большая фишка: необходимо менять знак неравенства при делении (или умножении) неравенства на отрицательное число. Менять знак неравенства значит изменять знак "меньше" на знак "больше" или наоборот. При этом знаки плюс на минус в обход ранее изученных математических правил нигде менять не надо. Если мы делим или умножаем неравенство на положительное число знак неравенства менять не нужно. В остальном решение линейных неравенств полностью идентично решению линейных уравнений.
Основное свойство пропорции:

Формулы сокращенного умножения
При выполнении различных алгебраических преобразований часто удобно пользоваться формулами сокращенного умножения. Зачастую эти формулы применяются не столько для того чтобы сократить процесс умножения, а наоборот скорее для того, чтобы по результату понять, что его можно представить как произведение некоторых множителей. Таким образом, данные формулы нужно уметь применять не только слева направо, но и справа налево. Перечислим основные формулы сокращенного умножения. Квадрат суммы:

Квадрат разности:

Разность квадратов:

Разность кубов:

Сумма кубов:

Куб суммы:

Куб разности:

Последние две формулы также часто удобно использовать в виде:


Квадратное уравнение и формула разложения квадратного трехчлена на множители
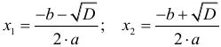
Пусть квадратное уравнение имеет вид:

Тогда дискриминант находят по формуле:

Если D > 0, то квадратное уравнение имеет два корня, которые находят по формулам:

Если D = 0, то квадратное уравнение имеет один корень (его кратность: 2), который ищется по формуле:

Если D < 0, то квадратное уравнение не имеет корней. В случае когда квадратное уравнение имеет два корня, соответствующий квадратный трехчлен может быть разложен на множители по следующей формуле:

Если квадратное уравнение имеет один корень, то разложение соответствующего квадратного трехчлена на множители задается следующей формулой (обратите внимание, что скобка в квадрате):

Только в случае если квадратное уравнение имеет два корня (т.е. дискриминант строго больше ноля) выполняется Теорема Виета. Согласно Теореме Виета, сумма корней квадратного уравнения равна:

Произведение корней квадратного уравнения может быть вычислено по формуле:

Парабола
График параболы задается квадратичной функцией:

Квадратичная функция, как и любая другая функция, пересекает ось ОХ в точках являющихся её корнями: (x1; 0) и (x2; 0). Если корней нет, значит квадратичная функция ось ОХ не пересекает, если корень один, значит в этой точке (x0; 0) квадратичная функция только касается оси ОХ, но не пересекает её. Квадратичная функция всегда пересекает ось OY в точке с координатами: (0; c). График квадратичной функции (парабола) может выглядеть следующим образом (на рисунке примеры, которые далеко не исчерпывают все возможные виды парабол):

При этом:
- если коэффициент a > 0, в функции y = ax2 + bx + c, то ветви параболы направлены вверх;
- если же a < 0, то ветви параболы направлены вниз.
Координаты вершины параболы могут быть вычислены по следующим формулам. Икс вершины параболы (или точка в которой квадратный трехчлен достигает своего наибольшего или наименьшего значения):

Игрек вершины параболы или максимальное, если ветви параболы направлены вниз (a < 0), либо минимальное, если ветви параболы направлены вверх (a > 0), значение квадратного трехчлена:

Основные свойства степеней
Формальное определение натуральной степени можно дать с помощью следующей записи:

У математических степеней есть несколько важных свойств, перечислим их. При умножении степеней с одинаковыми основаниями показатели степеней складываются:

При делении степеней с одинаковыми основаниями из показателя степени делимого вычитается показатель степени делителя:

При возведении степени в степень показатели степеней перемножаются:

Если перемножаются числа с одинаковой степенью, но разным основанием, то можно сначала перемножить числа, а затем произведение возвести в эту степень. Обратная процедура также возможна, если имеется произведение в степени, то можно каждое из умножаемых возвести в эту степень по отдельности а результаты перемножить:

Также, если делятся числа с одинаковой степенью, но разным основанием, то можно сначала поделить числа, а затем частное возвести в эту степень (обратная процедура также возможна):

Несколько простых свойств степеней:
- Любое число в нулевой степени даёт единицу.
- Любое число в первой степени равно самому себе.
- Единица в любой степени равна единице.

- Ноль в любой положительной (n > 0) степени равен нолю. Запомните: ноль нельзя возводить в отрицательную или нулевую степень.

Основное свойство отрицательной степени записывается следующим образом:

Основные свойства математических корней
Математический корень можно представить в виде обычной степени, а затем пользоваться всеми свойствами степеней приведёнными выше. Для представления математического корня в виде степени используют следующую формулу:

Квадратным корнем называется математический корень второй степени:

Квадратный корень можно извлечь только из неотрицательного числа. При этом значение квадратного корня также всегда неотрицательно:

Для квадратного корня существует два важных свойства, которые важно не путать:


Если под корнем стоит несколько множителей, то корень можно извлекать из каждого из них по-отдельности. При этом важно понимать, что каждый из этих множителей по-отдельности (а не только их произведение) должны быть неотрицательными:

Кроме того, нужно отметить, что если используется запись со значком математического корня, то показатель степени этого корня может быть только целым числом, причем это число должно быть больше либо равно двум:

