Оглавление:
Основные теоретические сведения
Некоторые рекомендации к решению рациональных неравенств
При решении линейных неравенств есть только одна большая фишка: необходимо менять знак неравенства при делении (или умножении) неравенства на отрицательное число. Менять знак неравенства значит изменять знак "меньше" на знак "больше" или наоборот. При этом знаки плюс на минус в обход ранее изученных математических правил нигде менять не надо. Если мы делим или умножаем неравенство на положительное число знак неравенства менять не нужно. В остальном решение линейных неравенств полностью идентично решению линейных уравнений.
В линейных и в любых других рациональных неравенствах ни в коем случае нельзя домножать или делить левую или правую части неравенства на выражения, содержащие переменную (кроме случаев, когда данное выражение положительно либо отрицательно на всей числовой оси, в этом случае при делении на всегда отрицательное выражение знак неравенства нужно поменять, а при делении на всегда положительное выражение знак неравенства нужно сохранить).
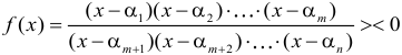
Решение неравенств вида:

Проводится с помощью метода интервалов, который состоит в следующем:
- Изображаем координатную прямую, на которую наносим все числа ai. Эти числа, расположенные в порядке возрастания, разобьют координатную прямую на (n+1) промежутков знакопостоянства функции f(x).
- Таким образом, определив знак f(x) в любой точке каждого промежутка (обычно эта точка выбирается из удобства арифметических действий), определяем знак функции на каждом промежутке. Главное при этом не подставлять в функцию сами границы промежутков.
- Выписываем в ответ все те промежутки, знак функции на которых соответствуют основному условию неравенства.
Нужно также отметить, что не обязательно исследовать знак функции на каждом промежутке подстановкой некоторого значения из этого промежутка. Достаточно определить таким образом знак функции только на одном промежутке (обычно на крайнем правом), а затем двигаясь от этого промежутка влево вдоль числовой оси можно чередовать знаки промежутков по принципу:
- Если скобка из которой взялось число через которое мы переходим стоит в нечетной степени, то при переходе через соответствующую точку знак неравенства меняется.
- А если соответствующая скобка стоит в четной степени, то при переходе через соответствующую точку знак неравенства не меняется.
При этом нужно учитывать еще и следующие замечания:
- В строгих неравенствах (знаки "меньше" или "больше") границы промежутков никогда не входят в ответ, а на числовой оси они изображаются выколотыми точками.
- В нестрогих неравенствах (знаки "меньше либо равно" или "больше либо равно") те границы промежутков, которые взяты из числителя всегда входят в ответ и изображаются закрашенными точками (так как в этих точках функция действительно обращается в ноль, что удовлетворяет условию).
- А вот границы взятые из знаменателя в нестрогих неравенствах всегда изображаются выколотыми точками и в ответ никогда не входят (так как в этих точках в ноль обращается знаменатель, что недопустимо).
- Во всех неравенствах если одна и та же скобка есть и в числителе и в знаменателе, то сокращать на эту скобку нельзя. Нужно изобразить соответствующую ей точку выколотой на оси, и не забыть исключить из ответа. При этом при чередовании знаков промежутков, проходя через эту точку знак менять не нужно.
Итак еще раз самое важное: при записи окончательного ответа в неравенствах не потеряйте отдельные точки, удовлетворяющие неравенству (это корни числителя в нестрогих неравенствах), и не забудьте исключить из ответа все корни знаменателя во всех неравенствах.
При решении рациональных неравенств более сложного вида чем указан выше, необходимо сначала алгебраическими преобразованиями свести их именно к такому виду, а затем применить метод интервалов с учетом всех уже описанных тонкостей. Таким образом, можно предложить следующий алгоритм для решения рациональных неравенств:
- Все слагаемые, дроби и другие выражения необходимо перенести в левую часть неравенства.
- При необходимости привести дроби к общему знаменателю.
- Разложить числитель и знаменатель полученной дроби на множители.
- Решить полученное неравенство методом интервалов.
При этом при решении рациональных неравенств не допускается:
- Перемножать дроби «крест-накрест».
- Как и в уравнениях, нельзя сокращать множители с переменной с обеих сторон неравенства. Если такие множители есть, то после переноса всех выражений в левую часть неравенства их нужно вынести за скобки, а затем учесть те точки которые они дадут после окончательного разложения полученного выражения на множители.
- Отдельно рассматривать числитель и знаменатель дроби.
Как и в остальных темах по математике, при решении рациональных неравенств можно применять метод замены переменной. Главное не забывать, что после введения замены, новое выражение должно стать проще и не содержать старой переменной. Кроме того, нужно не забывать выполнять обратную замену.
При решении систем рациональных неравенств нужно по очереди решить все неравенства входящие в систему. Система требует выполнения двух и более условий, причем мы ищем те значения неизвестной величины, которые удовлетворяют сразу всем условиям. Поэтому, в ответе системы неравенств нужно указать общие части всех решений отдельных неравенств (или общие части всех заштрихованных промежутков, изображающих ответы каждого отдельного неравенства).
При решении совокупностей рациональных неравенств также по очереди решают каждое из неравенств. Совокупность требует нахождения всех значений переменной, удовлетворяющих хотя бы одному из условий. То есть любому из условий, нескольким условиям или всем условиям вместе. В ответе совокупности неравенств указывают все части всех решений отдельных неравенств (или все части всех заштрихованных промежутков, изображающих ответы каждого отдельного неравенства).
Решение некоторых типов неравенств с модулями
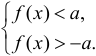
Неравенства с модулями можно и нужно решать последовательно раскрывая модули на промежутках их знакопостоянства. Таким образом, нужно поступать примерно также как при решении уравнений с модулями (об этом ниже). Но есть несколько относительно простых случаев в которых решение неравенства с модулем сводится к более простому алгоритму. Так например, решение неравенства вида:

Сводится к решению системы:

В частности неравенство:

Может быть заменено равносильной системой:

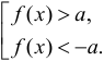
Ну а если в аналогичном неравенстве заменить знак "меньше" на "больше":

То его решение сводится уже к решению совокупности:

В частности неравенство:

Может быть заменено равносильной совокупностью:

Таким образом, необходимо запомнить, что для неравенства "модуль меньше" мы получаем систему, где должны одновременно выполняться оба условия, а для неравенства "модуль больше" мы получаем совокупность, в которой должно выполняться любое из условий.
При решении рациональных неравенств с модулем вида:

Целесообразно переходить к следующему равносильному рациональному неравенству без модуля:

Такое неравенство нельзя решать извлечением корня (если по-честному извлекать корень, то снова нужно поставить модули, и Вы вернетесь к началу, если про модули забыть, это равносильно тому, чтобы в самом начале про них просто забыть, а это, конечно, ошибка). Все скобки нужно перенести налево и, ни в коем случае не раскрывая скобки, применить формулу разности квадратов.
Еще раз повторимся, что для решения всех других типов неравенств с модулями кроме указанных выше нужно раскрывать все модули входящие в неравенство на промежутках их знакопостоянства и решать полученные неравенства. Напомним подробнее общий смысл этого алгоритма:
- Сначала находим точки на числовой оси, в которых обращается в ноль каждое из выражений, стоящих под модулем.
- Далее делим всю числовую ось на интервалы между полученными точками и исследуем знак каждого из подмодульных выражений на каждом интервале. Заметьте, что для определения знака выражения надо подставить в него любое значение переменной из интервала, кроме граничных точек. Выбирайте те значения переменной, которые легко подставлять.
- Далее на каждом полученном интервале раскрываем все модули в исходном неравенстве в соответствии с их знаками на данном интервале и решаем полученное обычное рациональное неравенство с учетом всех правил и тонкостей решения обычных неравенств без модулей.
- Решение каждого из неравенств полученных на конкретном промежутке объединяем в систему с самим промежутком, а все такие системы объединяем в совокупность. Таким образом из решений всех неравенств выбираем только те части которые вошли в промежуток, на котором было получено данное неравенство, и записываем все эти части в итоговый ответ.
